おかげさまで開設25周年EXPINSOFT.COM 創業祭

EXPINSOFT.COM

詳しくはこちら
マイストア マイストア 変更
  • 即日配送
  • 広告
  • 取置可能
  • 店頭受取

HOT ! ryuuu Safety and efficacy of tirofiban versus

※EXPINSOFT.COM 限定モデル
YouTuberの皆様に商品の使い心地などをご紹介いただいております!
紹介動画はこちら

ネット販売
価格(税込)

7500

  • コメリカード番号登録、コメリカードでお支払いで
    コメリポイント : 6ポイント獲得

コメリポイントについて

購入個数を減らす
購入個数を増やす

お店で受け取る お店で受け取る
(送料無料)

受け取り店舗:

お店を選ぶ

近くの店舗を確認する

納期目安:

13時までに注文→17時までにご用意

17時までに注文→翌朝までにご用意

受け取り方法・送料について

カートに入れる

配送する 配送する

納期目安:

2025.09.24 1:13頃のお届け予定です。

決済方法が、クレジット、代金引換の場合に限ります。その他の決済方法の場合はこちらをご確認ください。

※土・日・祝日の注文の場合や在庫状況によって、商品のお届けにお時間をいただく場合がございます。

即日出荷条件について

受け取り方法・送料について

カートに入れる

欲しいものリストに追加

欲しいものリストに追加されました

ryuuu Safety and efficacy of tirofiban versusの詳細情報

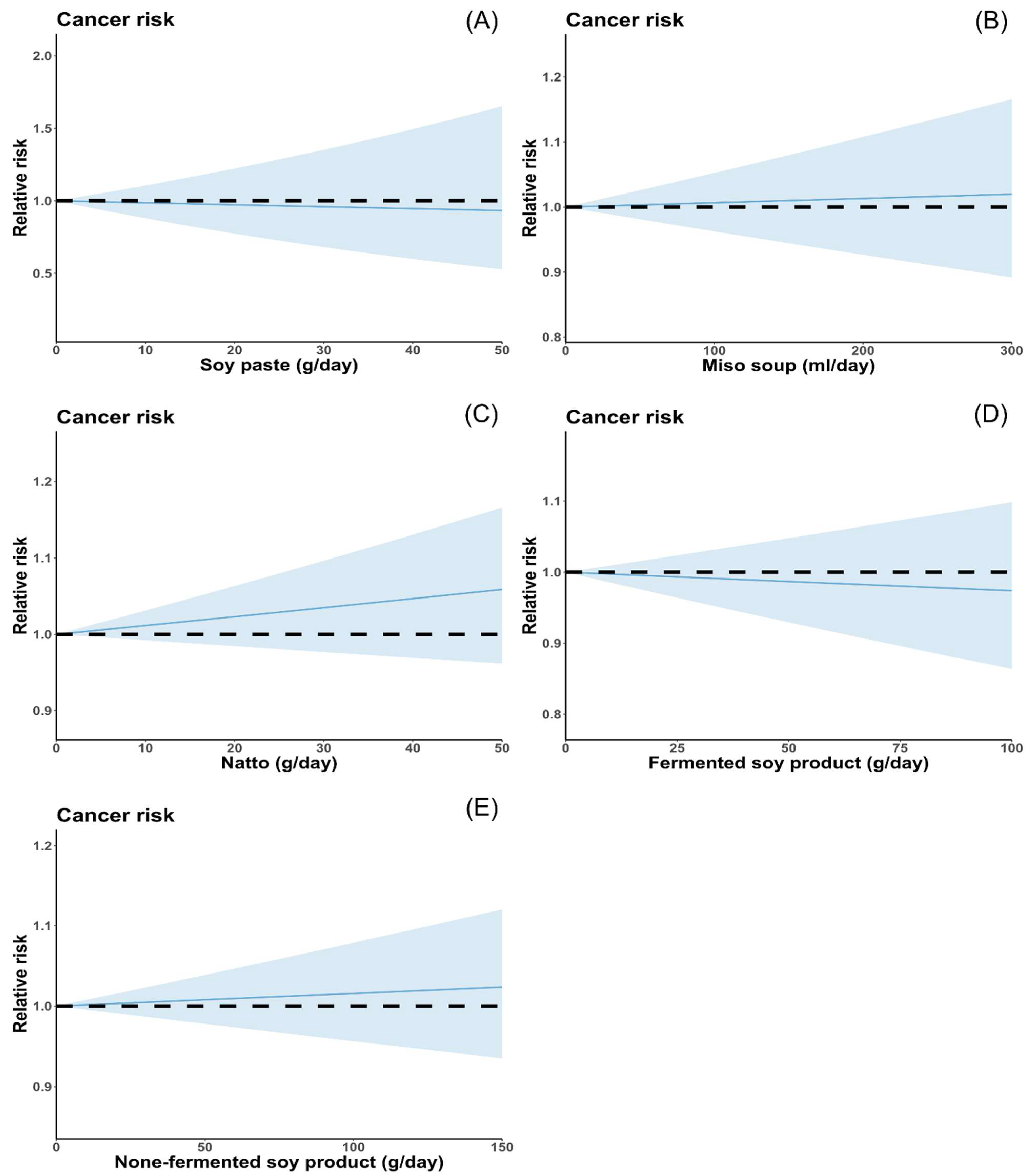
Safety and efficacy of tirofiban versus。Soy Product Consumption and the Risk of Cancer: A Systematic。Frontiers | Probiotics supplements for the prevention of。

商品説明

ニックス風ビットホルダー5P付きベルトループ&カラビナ下げシルバー×レッド
The Effect of Sex on the Therapeutic Efficiency of Immune

Makita - makita TD172DRGX 18V 6.0Ah マキタ インパクト ドライ
この商品はハンドメイド品になります。makita 18V 6.0Ah 純正 リチウムイオンバッテリー BL1860B。
Makita - にゃんこ

HILTI ヒルティ 電動ハツリ機 ブレーカー TE 500-X
ニックスのペンドラサックや工具差しなども取り付けられるように60mm幅で製作しています。建築板金道具一式。
Makita - 新品 マキタ インパクトドライバー TD002 TD001 6台
ニックスの既製品とほぼ同じサイズです。草刈り機 芝刈り機 【ブラック】 電動式草刈り機 21V 伸縮式 コードレス。
日立 - 一眼「HiKOKI(ハイコーキ) テーブルソーC10FE」

Makita - グラタン マキタ インパクトドライバー TD002GRDXB 6台
下段を2段階稼動させることでビットの抜き差しがスムーズに出来るように作りました。マキタ40v 2.5Ah美品。ビットを差していてもカラビナを使うのに邪魔にならない高さで作っています。【本体のみ】スプレーガン 電動式スプレーガン コードレススプレーガン レッド。
HJKTK セーバーソー、グラインダー、インパクトセット

Makita - 【20個セット】マキタ バッテリーBL1860B
カラビナの高さをもっと下げる事も可能です。工具 精密バイス 万力。
Makita - マキタ18v インパクトドライバー TD172DGX FY【新品・送料無料】
チェーンの長さを+¥500で1段下げれます。RYOBI - RYOBIサンダポリッシャー 径125㎜ RSE-1250。
Makita - 特価 マキタ 充電式インパクトドライバー TD172DRGX 新品未使用品
何段下げるか、コメント欄からお願いします。ナショナル 松下 電動 丸ノコ マルノコ インパクトドライバ セット。
マキタ インパクト TD172DRGX×3

Makita - 【5台セット】【カラー変更可!】マキタ 充電式インパクトドライバ フルセット
ダブルタクトのプレート、ビット、金具類はアルミ、その他のボルト、ナイロンナット、L字金具はステンレスを使用しています。新品未使用 シグネット 45度メガネレンチ 7本セット。パイプはニッケルメッキです。ビットホルダー5P付きベルトループ ブラック×レッド。アルミプレート等で補強していて軽量かつ安定感があります。Makita - マキタ 芝生バリカン MUM1600。
Makita - makita 18v バッテリー 2個セット

Makita - 3個セット 未使用品 マキタ TD 172DGX FY フレッシュイエロー
※ハンドメイドのため製作時プレート金具類に多少の傷が付いてしまう場合がございます。RYOBI - RYOBI チェーンソー。あらかじめご理解頂ける方のみよろしくお願いします。バートル リチウムイオンバッテリー サーモクラフト電熱パット 新品未使用品。
Makita - makita マキタ インパクトドライバー

Makita - よーめんインパクトドライバTD172DGXAP新品4台セット
複数購入希望の方はコメント欄からお願いします。BRIDGESTONE - プッシュマスター NAU16J。
やまひつじ

Makita - 新品未使用 マキタ インパクトドライバ TD002GRDX
その他、色変更、ご要望、質問がございましたらコメントからお願いします。アネスト岩田 スプレーガン&カップ。
Makita - マキタ インパクト 新品

日立 NV65HR 釘打ち機
#ニックス風
Makita - 【10個セット】マキタ バッテリーBL1860B
#knicks風
ハイコーキ ハンマードリル
#KNICKS風
Makita - グラタン マキタ インパクトドライバー TD002GRDXB 6台
#ニックス
Makita - マキタ 充電インパクトドライバー TD172DGX 5台 新品
#knicks
【新品】ハイコーキBSL36B18B × 2個セット【工具屋さん専用】
#TAJIMA
日立 - 日立工機 高圧ロール釘打ち機
#SUS
Makita - 新品激安 マキタ 新型丸のこ HS631DGXSB
#チタン
Makita - 4個セット マキタ TD172DRGX ブルー 6.0Ah 18V
#アルミ
Makita - 新品・未使用 マキタ18V 充電式インパクト
#ベルトループ
Makita - マキタ インパクトドライバーtd172フルセット 5台
#ブラック
アトラエース CLO-2725 期間限定バッテリー付き
#工具
マックス スーパーエア・コンプレッサ AK-HH1270E3黒
#腰道具
Makita - td172フルセット イエロー3台、ブラック2台計5台まとめて
#足場屋
Makita - マキタ TD172フルセット 12台
#鳶
Makita - 【50個セット】マキタ バッテリーBL1860B
#電気屋
Makita - マキタ125mm 充電式マルノコ HS474DRGX 未使用
#カナビラ
Makita - sfsnsb マキタ TD172DGX 18V 新品 5台
#シノ差し
Makita - TP141DRGX 4セット
#タジマ
建設用レバーブロック0.8トン
#脱着式
Makita - マキタ 正規品 バッテリー BL1830B 18V 3.0Ah 2個セット
#ダブルタクト
Makita - ☆NEW☆ マキタ インパクドライバー TD172DRGXB【新品・送料無料】
#DBLTACT
Makita - 3台セット インパクトドライバー TD172DRGX 18V makita
#タジマセフ
Makita - マキタ td172フルセット 5台
#水平器
Makita - マキタ 10.8v インパクトドライバー ラジオ ライト
#ダブルタクト
Makita - BL1860B 10セット
#金具
レヂトン 金の卵 切断砥石 105x1.0x15 200枚入り1箱
#電工
マキタ TD172DRGX 4台セット
#ビット
マキタ ペンドライバー DF012 本体のみ
#ビットホルダー
Makita - 【中古】純正makita 18V 3.0Ah 充電式工具用バッテリー
#ラチェット
Makita - マキタ 18V バッテリー 電池 makita
#ラチェットツイスト
充電式 コードレス 電動ミニチェーンソー マキタ18Vバッテリー対応仕様
#チェーン
RYOBI - トリマ(RYOBI) MTR-42
#ニックス風チェーン
ミニチェーンソー 小型 充電式 6インチ 21V 2000mAh
#ニックスチェーン
Panasonic - パナソニック7.2v インパクトドライバー
#安全帯
Makita - マキタ 充電インパクト 14.4V M697DSX
#腰袋
Makita - マキタ 海外純正アクセサリー バッテリー工具箱
#ニックス腰道具

商品情報

  • Safety and efficacy of tirofiban versus
  • Soy Product Consumption and the Risk of Cancer: A Systematic
  • Frontiers | Probiotics supplements for the prevention of
  • The Effect of Sex on the Therapeutic Efficiency of Immune

同じカテゴリの 商品を探す

ベストセラーランキングです

このカテゴリをもっと見る

この商品を見た人はこんな商品も見ています

近くの売り場の商品

このカテゴリをもっと見る

カスタマーレビュー

オススメ度  4.6点

現在、3656件のレビューが投稿されています。